Back to Home Page of CD3WD Project or Back to list of CD3WD Publications

1. Que sont les mycotoxines?

Table des matières

Les mycotoxines sont des composés chimiques toxiques, produits par certains champignons. Il existe de nombreux composés de cette sorte, mais seul un nombre limité se retrouve régulièrement dans les aliments pour l'homme ou les animaux tels que les céréales. Néanmoins ceux qui apparaissent dans les denrées alimentaires revêtent une grande importance pour la santé humaine et animale. Étant donné que les mycotoxines sont produites par les champignons, on les retrouve dans les récoltes affectées par les maladies ou les moisissures, même lorsque la contamination ne semble que superficielle.

Certaines mycotoxines contenues dans la nourriture ont des conséquences aiguës et les symptômes graves d'intoxication apparaissent très rapidement. En revanche, d'autres mycotoxines présentent quant à elles une toxicité chronique et ont des effets cumulatifs sur le long terme pouvant induire des cancers ou des déficiences immunitaires.

Les informations sur les mycotoxines des denrées sont loin d'être exhaustives, mais elles sont suffisantes pour les considérer comme un problème grave dans de nombreuses régions du monde, à l'origine de pertes économiques importantes.

 


2. Les mycotoxines de la nourriture

Il existe cinq mycotoxines, ou groupes de mycotoxines qui apparaissent assez souvent dans la nourriture: déoxynivalénol/nivalénol; zéaralénones; ochratoxines; fumonisines; et aflatoxines. Le tableau 1 fournit la liste des produits alimentaires de base qu'elles affectent, les espèces de champignons qui les produisent et les principaux effets observés sur l'homme et les animaux. On trouve également la toxine T-2 dans une variété de grains, mais son apparition à ce jour est moins fréquente que les cinq mycotoxines précédentes.

Les mycotoxines les plus importantes pour la santé humaine dans les zones tropicales sont les fumonisines et les aflatoxines.

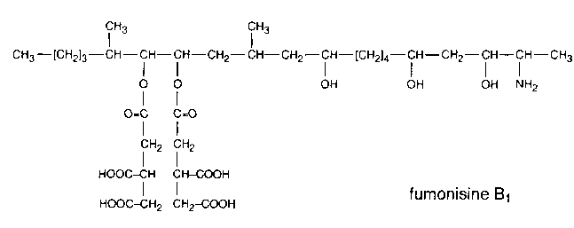
Les fumonisines ont été découvertes très récemment, en 1988, on ne possède donc que peu d'informations sur leur toxicologie. Cependant, on possède maintenant suffisamment de résultats provenant d'expérimentations conduites en laboratoire sur des animaux, démontrant les propriétés cancérogènes de cultures de Fusarium moniliforme contenant des quantités significatives de fumonisines. Les propriétés cancérigènes de la fumonisine B1 apparaissent en revanche moins évidentes lors de tests sur des animaux.

TABLE 1. LES MYCOTOXINES DANS LES GRAINS ET GRAINES DE BASE.

Mycotoxine Denrée Champignon producteur Conséquences de l'ingestion
déoxynivalénol/nivalénol blé, maïs orge Fusarium raminearum

Fusarium culmorum

Fusarium rockwellense

Intoxications humaines signalées en Inde, en Chine, en Corée et au Japon. Toxiques pour les animaux et en particulier les porcs.
zéaralénone maïs, blé F. graminearum

F. culmorum

F. crookwellense

Identifiée par l'AIRC, l'Agence Internationale pour la Recherche sur le Cancer comme potentiellement cancérogène chez l'homme. Affecte l'appareil reproducteur des truies.
ochratoxine A orge, blé et nombreuses autres denrées Aspergillus chraceus

Penicilllum verrucosum

Suspectée par l'AIRC d'être cancérigène chez l'homme. Cancérigène chez des animaux de laboratoire et chez le porc.
fumonisine B1 maïs Fusarium monoliforme et d'autres espèces moins communes Suspectée par l'AIRC d'être cancérogène chez l'homme. Toxique pour les porcs et les volailles. Responsable de la maladie leucoencéphale équine (ELEM), maladie mortelle pour les chevaux.
aflatoxine B1,B2

B1, B2, G1, G2

maïs, arachides et autres denrées mais, arachides Aspergillus flavus

Aspergillus parasiticus

Aflatoxine B1 et associations naturelles d'aflatoxines identifiées par l'AIRC comme potentiellement cancérogénes chez l'homme. Effets néfastes sur divers animaux et enparticuliers les poulets.

Les fumonisines sont connues comme des contaminants très courants des aliments à base de maïs en Afrique, en Chine, en France, en Indonésie, en Italie, en Amérique du Sud, en Thaïlande et aux Etats-Unis. Des souches de F. moniliforme du maïs provenant du monde entier, y compris l'Afrique, l'Argentine, le Brésil, la France, l'Indonésie, la Pologne, la Thaïlande et les Etats-Unis produisent des fumonisines. A ce jour, on considère que les souches de F. moniliforme isolées du sorgho produisent peu de fumonisines. fumosine .

Fumosine B1

Les aflatoxines ont été découvertes il y a plus de 30 ans et ont fait l'objet de nombreuses recherches. Ce sont des agents potentiellement cancérogènes pour l'homme qui affectent le système immunitaire. Parmi les animaux d'élevage, elles sont particulièrement toxiques pour les poulets.

En 1993, l'Agence Internationale pour la Recherche sur le Cancer (AIRC) a évalué et classé les associations de mycotoxines que l'on trouve à l'état naturel dans la classe 1 "cancérogène pour l'homme". Les aflatoxines B1 B2, G1 et G2 ont été observées dans les denrées en Amérique et en Afrique et se retrouvent dans le plasma humain. L'AIRC a conclu que l'aflatoxine B. est un élément cancérogène pour l'homme de classe 1. Les résidus des allatoxines B1 et/ou de ses métabolites, et M1 peuvent se retrouver dans les produits animaux y compris le lait. Les aflatoxines M1, se retrouvent également dans le lait maternel des femmes qui consomment des aliments contaminés par les aflatoxines B1 L'AIRC a classé l'aflatoxine M, comme moins cancérogène que l'aflatoxine B1

Il est clair que l'exposition aux aflatoxines est dangereuse pour la santé humaine. Pour cette raison, la plupart des pays ont des réglementations fixant les concentrations autorisées d'aflatoxines dans les aliments pour l'homme et les animaux (voir page 10).

L'aflatoxine B1 la plus toxique des alfatoxines, est à l'origine d'un ensemble d'effets néfastes chez différents animaux domestiques. Les effets sur les poulets comprennent des lésions du foie, une réduction de la productivité et de la capacité de reproduction, une réduction de la production d'oeufs chez les poules, une diminution de la qualité de la coquille des oeufs et de la carcasse et ce qui est le plus important du point de vue de l'homme, une augmentation de la prédisposition aux maladies.

 


3. Ecologie des champignons et production des mycotoxines

Les champignons producteurs de mycotoxines dans les denrées se classent grossièrement en deux groupes: ceux qui se développent avant la récolte, appelés communément champignons de terrain, et ceux qui apparaissent uniquement après la récolte, appelés champignons des stocks.

Il existe trois types de champignons de terrain toxiques:

Dans tous ces cas, il existe une relation plus ou moins bien définie entre les champignons et leur plante hôte.

Aspergillus et Fusarium sont probablement les espèces de champignons produisant le plus de mycotoxines dans les pays tropicaux en développement.

Cacahuètes attaquées par la moissure. De fortes doses d'aflatoxines dans cette denrée ont été fréquemment trouvées dans certaines régions d'Asie du Sud-Est, résultat de mauvaises pratique de manutention et de stockage.

La pourriture des grains due aux Fusarium est l'une des maladies les plus importantes des épis de maïs dans les régions chaudes. Elle est favorisée par la chaleur, la sécheresse et/ou les attaques d'insectes.

Il existe une forte relation entre les dégâts d'insectes et la pourriture des épis due aux Fusarium. Lors d'études effectuées sur le terrain, il a été établi que la présence de la pyrale du maïs européenne augmentait les attaques de F. moniliforme et les concentrations en fumosine.

Maïs infecté par la pourriture du grain due à un Fusarium, l'une des maladies de l'épi de maïs les plus importantes dans les régions chaudes.

Le stress thermique des plantes en phase de croissance joue également un rôle important. Selon des études sur le développement de la fumonisine dans le maïs cultivé dans les régions de culture intensive aux Etats-Unis, en Europe et en Afrique, il apparaît que les plantes hybrides présentent des concentrations en fumonisine plus importantes lorsqu'elles sont soumises à des écarts de temperatures supérieurs à leurs températures optimales de croissance.

Après la récolte, lorsque les grains sont entrés en phase de dormance à la suite du séchage, les relations entre les champignons et les plantes disparaissent. Des facteurs physiques décident alors si les champignons de l'autre c'est à-dire les champignons des stocks vont se développer et / ou produire des mycotoxines. Les principaux facteurs qui influent sur le développement des champignons dans les denrées stockées sont les suivants: le degré d'humidité (plus précisément l'activité de l'eau), et la température de stockage. En pratique, sous les tropiques, la température est presque toujours favorable au développement des champignons; c'est donc l'activité de l'eau qui constitue l'élément primordial de l'invasion et de la croissance des champignons.

 


4. Prévention et contrôle des mycotoxines dans les grains et les graines stockés

Sécher les grains

Les champignons ne peuvent se développer (ni les mycotoxines être produites) dans les denrées convenablement séchées. Par conséquent, un séchage efficace des denrées et le maintien à l'état sec sont des moyens de contrôle efficaces du développement des champignons et de la production de mycotoxines.

Pour réduire, ou prévenir, la production de mycotoxines, le séchage doit avoir lieu aussitôt après la récolte et aussi que possible. Le taux d'humidité critique pour un bon stockage correspond à une activité de l'eau (aw) d'environ 0,7. Le maintien des denrées au-dessous de 0,7 aw est une méthode efficace utilisée dans le monde entier pour maîtriser la pollution des denrées par les champignons et les mycotoxines.

Maintenir aw à un niveau suffisamment faible sous les tropiques est souvent un problème en raison du niveau élevé de l'humidité ambiante qui rend difficile la maîtrise de l'humidité des denrées. Lorsque les grains sont stockés en sacs, les systèmes basés sur un bon séchage suivi d'un stockage immédiat dans des sacs en plastique résistant à l'humidité permettent de surmonter les difficultés.

Un séchage rapide et soigné constitue le meilleur moyen d'éviter le développement des champignons et la production de mycotoxines après la récolte. Lorsque le séchage au soleil n'est pas possible ou trop incertain, il peut être nécessaire de faire appel à des formes méchanique de sécahge. Les sécheur méchanique ne sont pas nécessairement onéreux. Ce séchoir d'une tonne mis au point au Vietnam par un projet GTZ-IRRI n'a coûté que 55 USD et son coût de fonctionement est faible.

Bien qu'il soit possible de limiter le développement des champignons dans les denrées stockées en contrôlant l'atmosphère ou en utilisant des conservateurs ou des inhibiteurs naturels, ces techniques sont toujours plus chères qu'un bon séchage, et sont par conséquent rarement utilisables dans les pays en développement.

Eviter les dégâts des grains

Les grains abîmés sont plus sujets aux attaques des champignons et donc à une contamination par les mycotoxines. Il est donc important qu'ils ne soient pas abîmés avant et pendant le séchage puis au cours du stockage. Le séchage du maïs en épis avant le battage est à ce titre une très bonne pratique.

Les insectes sont une cause importante de détérioration: les ravageurs des champs et certaines espèces trouvées dans les stocks attaquent le sommet des grains, ce qui constitue une porte d'entrée pour les champignons dans l'atmosphère humide du grain qui mûrit. Au cours du stockage, plusieurs espèces d'insectes attaquent les grains, et l'humidité qui peut résulter de leur action offre un terrain idéal au développement des champignons. Il est donc essentiel que les grains stockés soient conservés indemnes d'insectes, sinon les problèmes d'humidité et de moisissures deviennent inévitables. Le risque augmente lorsque les grains souffrent d'un manque de ventilation et plus particulièrement si les récipients sont en métal.

S'assurer de conditions de stockage convenables

Bien qu'il soit difficile de conserver les denrées au sec pendant le stockage dans les zones tropicales, on ne peut qu'insister sur l'importance d'un stockage au sec. A petite échelle, les sacs en polyéthylène sont efficaces; à grande échelle, un bon stockage exige des structures bien conçues avec un sol et des murs imperméables. Le maintien de l'humidité du magasin au-dessous de 70% est crucial.

Dans les régions tropicales, l'humidité extérieure descend habituellement bien audessous de 70% au cours de journées ensoleillées. Une ventilation bien programmée, si possible à l'aide de ventilateurs, facilite énormément le maintien d'un faible degré d'humidité. L'idéal est que toutes les installations de stockage soient équipées d'instruments pour mesurer l'humidité.

Le stockage hermétique dans des conditions d'atmosphère contrôlée pour lutter contre les insectes est également très performant pour maîtriser le développement des champignons, à condition que les grains aient été bien séchés avant le stockage et que les fluctuations des températures diurnes soient faibles.

Lorsque les denrées doivent être stockées avant un séchage adéquat, la durée de stockage doit être limitée, et ne pas excéder trois jours. Un stockage en condition hermétique ou en atmosphère contrôlée peut prolonger cette période, mais de telles techniques sont relativement chères et le maintien de l'étanchéité est essentiel.

Un système de gestion des denrées et des magasins prenant en compte les mycotoxines est nécessaire. Tout un ensemble d'outils d'aide à la décision sera prochainement disponible intagrant les niveaux de complexité et de tailles existants.

 


5. Détection des mycotoxines

Les effets toxiques des mycotoxines s'exercent même en quantités extrêmement faibles dans les denrées. Leur identification et leur évaluation quantitative font appel à des méthodes perfectionnées d'échantillonnage, de préparation des échantillons, d'extraction et d'analyse.

Dans des conditions pratiques de stockage, le but doit être de suiveiller l'apparition des champignons. Si aucun champignon n'est détecté, la contamination par les mycotoxines est peu probable. La présence de champignons révèle un risque de production de mycotoxines; il faut alors envisager la destruction du lot contaminé. Bien qu'il existe des moyens pour décontaminer des denrées polluées, ils sont relativement onéreux et leur efficacité fait encore l'objet de débats.

Des méthodes simples, rapides et efficaces d'analyse des mycotoxines, pouvant être mises en oeuvre par des opérateurs peu qualifiés, sont nécessaires et des progrès ont déjà été réalisés en vue de leur développement.

Le FGIS Service Fédéral Américain d'inspection des Grains, a évalué huit tests mis sur le marché pour la détection rapide de l'aflatoxine du maïs Les kits approuvés par le FOIS comprennent un test ELISA rapide, une cartouche d'affinité immunitaire, un test ELISA en phase solide et des méthodes sélectives absorbantes en mini-colonnes.

Il reste nécessaire de mettre au point des méthodes d'analyse efficaces, peu coûteuses et pouvant être utilisées dans les laboratoires des pays en développement.

Plusieurs gouvernements ont mis en place des limites réglementaires des teneurs en mycotoxines dans les denrées mises sur le marché ou importées. En ce qui concerne l'aflatoxine, les recommandations varient de 400 à 500 µq/kg (parties par billion). Les limites réglementaires pour la fumonisine sont en cours d'examen. Pour toutes les mycotoxines, ii est probable que l'amélioration des méthodes d'analyse et des connaissances des toxines entraînera une baisse des limites maximales tolérées.

 


6. En résumé

La présence de mycotoxines dans les céréales et autres produits alimentaires de base a des conséquences graves sur la santé humaine et animale. Plusieurs pays ont publié des réglementations fixant des limites maximales de concentration en mycotoxines autorisées dans les aliments destinés à l'homme et aux animaux. La plupart des pays développés n'autoriseront pas l'importation de denrées aux teneurs en mycotoxines supérieures aux valeurs autorisées. Les mycotoxines ont par consequent des implications sur le commerce entre les nations.

La prévention de la contamination des denrées par les champignons est de loin la méthode la plus efficace pour éviter les problèmes de mycotoxines.

Les mycotoxines doivent donc faire partie intégrante des programmes de gestion intégrée des denrées qui se concentrent sur la préservation de la qualité des denrées du champ jusqu'au consommateur.

 


7. Informations complémentaires

Des informations complémentaires et des conseils sur la détection et le contrôle des mycotoxines dans les grains peuvent étre obtenus auprès des agences membres du GASGA:

ACIAR-Centre Australien pour la Recherche Agricole Internationale (Australien Centre for International Agricultural Research) GPO Box 1571, Canberra ACT 2601, Australie. Fax: +61 6 217 0501.

• CIRAD-Centre de Coopération Internationale en Recherche Agronomique pour le Développement. Laboratoire de Technologie, CIRAD-CA, BP 5035, 34032 Montpellier Cedex 1, France. Fax + 33 4 67 61 44 44

FAO-Organisation des Nations Unies pour l'Alimentation et l'Agriculture (Food and Agriculture Organization of the United Nations) Prévention des pertes de produits alimentaires après récolte, Division des Services Agricoles, Bureau B661, FAO, Via delle Terme di Caracalla - 00100, Rome, Italy. Fax: + 39 6 52 25 68 50

• GTZ-Compagnie allemande pour la coopération technique (Deutsche Gesellschaft fur Technische Zusammenarbeit GmbH) Postfach 5180, 65726 Eschborn, Germany. Fax: + 49 61 96 79 71 73

• NRI-Institut des Ressources Naturelles, Université de Greenwich (Natural Resources Institute) NRI Groupe de stockage alimentaire, Central Avenue, Chatham Maritime, Chatham, Kent ME4 4TB, UK. Fax: + 44 1 634 880 066

Le Bulletin du GASGA fait régulièrement le point sur les progrès et les difficultés en matière de recherche et développement concernant les mycotoxines. Ce journal bisannuel est envoyé gratuitement à toute personne qui en fait la demande à l'un des trois secrétariats du GASGA: NRI, GTZ (voir adresses ci-dessus) et Mission de Coopération Phytosanitaire Z.A.C. d'Alco, B.P. 7309, 34184 Montpellier Cedex 4, France (Fax. +33 4 67 03 1021).

L'ACIAR publie également une revue trimestrielle, le bulletin australien des mycotoxines (Australian Mycotoxin Newsletter) qui contient des informations et des résumés de communications extraits des derniers documents de la littérature mondiale concernant les champignons et les mycotoxines dans les aliments pour l'homme et les animaux. Le Bulletin Après récolte de l'ACIAR (ACIAR Postharvest Newsletter), également trimestriel, comprend de temps en temps des comptes rendus sur les résultats des programmes concernant les mycotoxines et sur les travaux et conférences sur le sujet. Les rencontres prévues sur ce thème y sont également annoncées. Ces bulletins sont adressés gratuitement à toute personne qui en fait la demande à l'ACIAR (voir adresse ci-dessus).

 


Remerciements

Les informations de ce livret sont issues du document "Mycotoxines dans les aliments" préparé par le Comité des mycotoxines de l'atelier"Champignons et mycotoxines dans les denrées en Asie" organisé par le GASGA. Nous adressons nos remerciements au Dr J. David Miller, de "Agriculture and Agri-Food" Canada, pour l'ensemble de ses conseils lors de la préparation de ce document. Nos remerciements vont également au Dr Ailsa Hocking, du département "Food Science and Technology" du CSIRO, Australie, pour les photographies.

Centre technique de coopération agricole et rurale (ACP-UE)

Le Centre technique de coopération agricole et rurale (CTA) a été créé en 1983 dans le cadre de la Convention de Lomé entre les Etats du groupe ACP (Afrique, Caraïbes, Pacifique) et l'Union européenne.

Le CTA a pour mission de fournir des services qui améliorent l'accès des pays ACP à l'information pour le développement agricole et rural, et de renforcer les capacités de ces pays à produire, acquérir, échanger et exploiter l'information dans ce domaine. Les programmes du CTA sont articulés sur trois axes principaux: le renforcement des centres d'information ACP, l'encouragement des contacts et des échanges entre les acteurs du développement rural, et la fourniture d'informations sur demande.

CTA, Postbus 380, 6700 AJ Wageningen, Pays-Bas


Table des matières

CD3WD Project Donate