Table des matières
- Précédente - Suivante
1.
Principes généraux
2. Les principaux paramètres d'un séchoir
3. Les différents types de séchoirs
4. Utilisation des séchoirs
5.
Séchage à basse température
6.
Le crib a mais
7. Cellule sécheuse à épis
Au-dessus d'une certaine teneur en eau, les céréales, les oléagineux et les protéagineux doivent être séchés sous peine de se dégrader très rapidement.
Tout grain récolté humide doit passer au séchoir. Ce dernier constitue un équipement généralisé dans les installations d'organismes stockeurs. Il peut constituer un équipement individuel dans les installations de stockage des exploitations céréalières.
Pour le maïs et le sorgho la quantité d'eau à évacuer représente entre le tiers et le quart de la masse de produit sec. Pour les céréales à paille (blé tendre, blé dur, orge), les oléagineux (colza, tournesol), récoltés occasionnellement humides, la masse d'eau à évaporer est beaucoup plus faible.
Lorsque la masse de grain humide est introduite dans le séchoir, elle est soumise à l'action d'un courant d'air chaud. La température de chaque grain va augmenter jusqu'à la température de vaporisation de l'eau. Après évaporation de l'eau superficielle, cette température continue à augmenter au fur et à mesure que l'eau s'évapore.
C'est donc dans un premier temps la zone périphérique du grain qui est séchée, puis elle est traversée par l'eau située de plus en plus près du centre du grain. Lorsque le grain sort du séchoir il contient encore de l'eau; mais il y a un gradient d'humidité qui va du plus sec au plus humide de l'extérieur vers le centre du grain.
L'eau est présente sous 2 formes dans le grain:
- une partie faiblement liée qui s'évapore aussi sous l'action de la chaleur, mais plus difficilement que l'eau libre, de 27 à 13 % pour le maïs. Cette limite marque le seuil de stabilisation des grains.
- une autre partie très liée chimiquement aux constituants du grain (au-dessous du seuil de stabilisation), qui nécessite une énergie très importante pour son évaporation.
Exemple: un séchoir d'une puissance évaporatoire de 1000 kg d'eau/h sèche du maïs de 35 à 15 %:
On a vu plus haut que pour avoir 1 quintal sec à 15%, il fallait introduire 1,3077 q de grain humide à 35 % donc un débit de 32,5 q secs/h correspond à un débit de 32,5 x 1,3077 = 42,5 q humides/h.
2. Les principaux paramètres d'un séchoir
Puissance ou pouvoir d'évaporation:
C'est une caractéristique fondamentale d'un séchoir fonctionnant dans des conditions bien déterminées de débit d'air, de température d'air chaud, de température ambiante, de nature de grain traité et d'humidité initiale et finale du grain.
Elle s'exprime en kilogrammes d'eau évaporée par heure. A partir de cette valeur et en fonction des humidités initiale et finale du grain, il est très facile de calculer les débits de grain sec et de grain humide du séchoir (voir exemple ci-contre).
Puissance thermique:
C'est la quantité de chaleur fournie par heure. Elle s'exprime en kilocalorie/h (kcal/h) ou en millithermie/h (mth/h).
Quelques formules utiles:
Hi: Humidité initiale
Hf: Humidité finale
Poids d'eau à enlever à 100 kg de grain
humide
Poids d'eau enlever à 100 kg de grain
séché
Pi: Poids initial avant séchage
Pf: Poids final après séchage
LES PERTES D'EAU AU SECHAGE
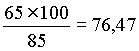
Considérons 100 kg de produit humide à 35 % d'humidité. Ce produit se compose de:
kg d'eau
et de 100 - 35 = 65 kg de matière sèche.
Séchons ces 100 kg de produit humide afin d'obtenir un produit à 15 %.
Nous supposerons que le séchage conserve intégralement la matière sèche initiale, et que la perte de poids subit par le produit est due uniquement à l'évaporation de l'eau.
Dans le produit à 15 %, la matière sèche (65 kg) représentera 85 % du poids:
Nous obtenons donc la règle de trois suivante:
(Poids du produit à 15 % d'humidité en partant de 100 kg à 35%)
kg
Comme nous avons supposé la conservation intégrale de la matière sèche, nous avons l'égalité suivante:
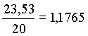
100 - 76,47 = 23,53 kg d'eau évaporée
(Poids à 35 d'humidité - Poids à 15 % d'humidité = Poids de l'eau retirée).
Dans le raisonnement qui précède, nous sommes partis d'un produit à 35 % d'humidité pour arriver à un produit à 15 %, le nombre de points d'humidité retirés au produit est donc de 35 - 15 = 20 points.
En conséquence, la perte d'eau moyenne par quintal humide séché jusqu'à 15 %, et par point est de
kg d'eau par point
C'est ce qu'on appelle la valeur moyenne du point, qui dans la pratique est arrondie à 1,2. Considérons maintenant non pas 100 kg de produit humide, mais 100 kg de produit sec à 15 %.
Quel est le poids du produit à 35 % dont il provient ?
Dans les 100 kg de produit sec à 15 % d'humidité, il y a 85 kg de matière sèche. Dans le produit humide à 35 % ces 85 kg représentent 65 % du poids.
kg de produit à 35 % d'humidité, c'est
de ce poids que proviennent les 100 kg de produit à 15 %.
Rendement thermique:
C'est le rapport en pourcentage de la puissance récupérée sur la puissance fournie.
Pouvoir calorifique du combustible:
Le pouvoir calorifique inférieur (PCI) d'un combustible est la quantité de calories réellement utilisables par unité de poids ou de volume. il ne faut pas confondre avec le pouvoir calorifique supérieur (PCS) qui donne la quantité brute de calories dégagées par la combustion. La différence entre les deux tient compte du fait qu'une partie des calories produites sert à évaporer l'eau provenant de la combustion et est donc perdue.
| COMBUSTIBLE | POUVOIR CALORIFIQUE INFERIEUR | TENEUR MAXIMUM EN SOUFRE | |
| kcal/m3 | kcal/kg | mg/m3 | |
| Fioul domestique | 8 425 (kcal/l) | 10 150 | 5 000 (mg/kg) |
| Propane | 21 915 | 11 010 | 30 |
| Butane | 27 800 | 10 920 | 30 |
| Gaz naturels: | |||
| Lacq | 8 710 | 11 820 | 10 |
| Groningue | 7 560 | 9 140 | 10 |
| Algérie | 9 440 | 11 240 | 10 |
Débit spécifique ou débit de renouvellement:
C'est le volume d'air traversant un mètre cube de grain en une heure. Dans les séchoirs continus à canaux il est de l'ordre de 1500 à 2 000 m3 d'air/heure et par m3 de grain.
Consommation thermique spécifique:
Elle représente la quantité de chaleur à fournir pour évaporer 1 kg d'eau. C'est une valeur intéressante à connaître car elle est directement liée à la consommation de combustible. Il est de l'intérêt de l'utilisateur que cette grandeur soit aussi faible que possible.
Le constructeur doit la garantir ainsi que le pouvoir d'évaporation et le débit de grain sec pour des conditions bien définies (température d'air chaud et humidités du grain).
La consommation thermique spécifique, pour les séchoirs industriels récents, est de l'ordre. de 820 à 850 kcal/kg d'eau évaporée alors que pour la plupart des séchoirs fermiers elle varie de 900 kcal/kg d'eau évaporée pour les plus récents à 1 200 kcal/kg voire plus pour des matériels anciens.
Remarque: On exprime souvent la puissance d'évaporation en points/heure. Cette unité représente le produit du débit de grain humide par le nombre de points de séchage effectués (voir exemple ci-contre).
Exemple:
Pour les conditions citées plus haut - pouvoir d'évaporation 1 000 kg d'eau/heure un débit de 42,5 quintaux humides/heure, un séchage de 35 à 15 % soit 20 points d'humidité.
La puissance évaporatoire: 42,5 x 20 = 850 points/heure.
On peut retrouver la valeur du point en effectuant le rapport:
Le rapport 1000: 850 = 1,177 kg d'eau par point.
1 millithermie = 1 kilocalorie
1 thermie = 1 000 kilocalories
SECHOIRS STATIQUES:
Valeurs du couple débit spécifique - température pour l'obtention en fin de séchage d'une hétérogénéité de 15 ± 3 % entre les couches extrêmes de grain dans un séchoir statique.
| TEMPERATURE AIR CHAUD (°C) |
DEBIT SPECIFIQUE (m3/h.m3 de grain) |
| 45 | 2000 |
| 60 | 3000-3500 |
| 80 | 4000-4500 |
| 100 | 5000-6000 |
3. Les différents types de séchoirs
Dans leur ensemble les séchoirs de type fermier sont gros consommateurs d'énergie, soit parce que de conception ancienne, soit parce que trop petits pour prendre en compte les procédés économiseurs d'énergie mis au point et actuellement utilisés sur les gros matériels. On les classe en trois groupes selon leur mode de fonctionnement: statique, à recirculation du grain et continu.
Séchoirs statiques:
Dans un séchoir statique le grain est introduit dans l'appareil en début d'opération et n'est soumis à aucun déplacement au cours du séchage, dans quelques cas il est animé par un mouvement de brassage. Le produit est soumis à une ventilation chaude puis à une ventilation froide. Le grain, qui reste en place, est parcouru par un front de séchage sous l'action de l'air chaud, ce dernier se déplace depuis la face d'entrée de l'air chaud jusqu'à la face de sortie de l'air usé. Tant que le front de séchage est dans la masse de grain, l'air sort saturé et les couches de grain situées au-delà de ce front ne sèchent pas, tandis que le grain situé avant sèche en permanence.
De ce fait il se produit une hétérogénéité d'humidité entre les couches extrêmes après séchage du lot. Cette hétérogénéité est fonction du couple débit spécifique-température d'air chaud. Dans la pratique les valeurs retenues sont 60 °C pour 3 000 m3/h associées à une épaisseur de la couche de grain de 50 cm. Cela correspond à un bon compromis entre les aspects qualitatif (hétérogénéité), quantitatif, (importance du lot) et économique du séchage (pertes de charge).
Dans l'ensemble, le rendement thermique est faible et la consommation thermique spécifique importante (1500 à 2 000 kcal/kg d'eau évaporée).
Ces cases de fabrication artisanale sont en bois. Le faux fond doit avoir une inclinaison de 25 à 30 % pour retenir le grain humide et permettre un écoulement naturel du grain sec en fin de séchage. La hauteur maximale de la couche de grain doit être de 30 cm sous peine d'obtenir en fin de séchage, une forte hétérogénéité de l'humidité du grain entre le fond et la couche supérieure du tas. Le nivellement de cette couche est manuel.
Ce sont des matériels destinés à des quantités annuelles séchées plus importantes. Le remplissage et la vidange s'effectuent mécaniquement par 1 ou 2 vis. Les vis de vidange servent également à niveler le dessus du tas en fin de remplissage.
Ces séchoirs permettent. selon les modèles, de traiter 50 à 400 quintaux de maïs humide par jour pour un séchage de 35 à 15 % et cela en 2 ou 3 cycles quotidiens % cycle = remplissage + séchage + refroidissement + vidange).
Ce matériel se compose d'une cellule cylindrique standard en tôle ondulée galvanisée équipée d'un toit et d'un plancher perforé. On leur adjoint un système de brassage du grain et un générateur d'air chaud fournissant de l'air à 50-60 °C avec un débit spécifique de l'ordre de 140 m3/h par m3 de grain.
Le système de brassage se compose d'un arbre horizontal placé en haut et au centre de la cellule, animé d'un mouvement circulaire. Sur cet arbre sont installées une ou plusieurs vis verticales, animées de trois mouvements simultanés
- mouvement de rotation de la vis sur elle-même
- mouvement horizontal: déplacement le long de l'arbre horizontal
- mouvement circulaire autour de la cellule (rotation complète).
Au cours du séchage, le grain situé dans les couches basses de la cellule est ramené en surface par le système de vis verticales mobiles qui se déplacent en permanence dans la masse de grain. Le brassage doux et continu réduit fortement les hétérogénéités d'humidités. Ce système adapté au maïs présente des défauts pour les autres types de grain au niveau du brassage effecuté par les vis qui ne sont plus adaptées.
Séchoirs a recirculation du grain:
Ces appareils travaillent sur des lots successifs. Le séchoir est rempli de grain humide qui est recyclé en permanence dans le séchoir. Il est évacué lorsqu'il est sec et refroidi, le séchoir est alors à nouveau rempli pour le cycle suivant.
On distingue deux types de séchoirs fonctionnant suivant ce principe:
Dans ces appareils une vis verticale centrale assure le remplissage puis le brassage du grain par remontée de bas en haut pendant toute la phase de séchage; en fin de cycle elle sert à la vidange. L'air chaud sous pression est injecté au centre du séchoir et traverse la couronne périphérique de grain. Le générateur d'air chaud fonctionne soit au gaz, soit au fioul domestique. Le ventilateur peut être entraîné par un moteur électrique ou par la prise de force d'un tracteur. La consommation spécifique est de l'ordre de 900 à 1 000 kcal/kg d'eau évaporée. Etant munis de roues, ce matériel est déplaçable et peut donc fonctionner en différents lieux au cours de la campagne.
Il est généralement fixe, mais il existe des modèles munis de roues donc déplaçables. Dans ces séchoirs le grain descend dans une colonne centrale et l'air traverse la masse de grain en passant par des canaux de distribution et de reprise noyés dans la masse. Le grain effectue autant de passages dans la colonne qu'il est nécessaire pour qu'il soit sec, il est repris à la base du séchoir et est remonté en tête de colonne par un élévateur à godets.
Suivant les modèles, les débits s'échelonnent de 100 à 700 quintaux de maïs humide séché de 35 à 15 % en 24 heures soit 2 000 à 14 000 quintaux séchés en 20 jours.
Avec ce type de matériel à recirculation du grain, le taux de grains cassés augmente de 2 à 3 %, ce qui s'explique par les nombreuses manutentions. La qualité du produit séché n'est pas toujours très bonne surtout à cause des températures de séchage élevées préconisées par les constructeurs.
Séchoirs continus:
Dans ce type de séchoir le séchage s'effectue en un seul passage, le grain entre humide en haut de la colonne et ressort sec et refroidi.
Dans cette catégorie on distingue trois types de séchoirs qui se défférencient par le sens d'avancement du produit:
Ces séchoirs ne sont pratiquement plus fabriqués. Ils sont à tablier plat horizontal sur lequel le grain sèche en couche de 30 à 40 cm en étant brassé régulièrement par un agitateur à palettes. Le grain avance régulièrement sur le tablier et passe de la zone de séchage à la zone de refroidissement puis tombe dans le dispositif de reprise.
Sur ce type de séchoir, le tablier est incliné et se compose de lamelles qui se recouvrent à la façon de persiennes laissant passer l'air chaud. L'épaisseur de la couche de grain (15 à 20 cm) est régulée par des rouleaux. L'avancement du grain sur le tablier est assuré par un convoyeur à barrettes.
Il existe deux types de séchoirs à « cascade »:
- séchoir à « cascades » à un seul passage de grain,
- séchoir « double flow », plus spécialement adapté au séchage du maïs. Le grain effectue un aller et retour, sur deux tabliers superposés, inclinés.
Ce système permet de mieux utiliser l'air chaud qui traverse 2 fois le grain et est de ce fait mieux saturé. Certains modèles peuvent être adaptés en version mobile. Leur conception leur permet une polyvalence dans les produits à sécher et notamment grains et fourrages. Dans ce dernier cas on les désigne sous le nom de déshydrateuse basse température.
Ce procédé nouveau en FRANCE est largement utilisé aux Etats Unis. Il a été mis au point et expérimenté par l'ITCF et ENSAT (Ecole Nationale Supérieure d'Agriculture de Toulouse) pour les productions du Sud Ouest comme le tournesol, le soja, le sorgho et le maïs. Il est aussi parfaitement adapté pour les productions d'autres régions car ce système est très polyvalent. Les premiers matériels de ce type, de fabrication française, devraient être commercialisés en 1989.
Il s'agit d'une cellule équipée:
- d'un faux fond perforé pour la diffusion de l'air,
- d'un générateur d'air chaud pouvant produire un air chaud de 40 à 80 °°C suivant le produit à sécher,
- d'une vis extractrice qui permet la vidange du grain couche par couche à partir du fond,
- la hauteur maximale de grain doit être de 2 mètres,
- le débit spécifique d'air est de 300 m3/h par m3 de grain.
Le principe de fonctionnement de ce séchoir en cellule est le suivant:
Lorsqu'une couche de grain d'environ 30 cm est sèche, la vis racleuse de vidange se met en fonctionnement et l'on évacue la totalité de ce grain sec situé en fond de cellule. L'électroniveau enclanche alors automatiquement la manutention pour le remplissage de la cellule. Pour automatiser l'ensemble une simple minuterie réglant le temps de fonctionnement de la vis et sa fréquence de mise en route suffit.
Cette cellule qui sert de séchoir est bien entendu utilisée pour le stockage classique après la période de séchage.
Ce sont des séchoirs où le grain descend par gravité. Ils peuvent être installés en extérieur ou dans un bâtiment. Ils sont montés à partir d'éléments préfabriqués en usine et assemblés sur place.
Ils se composent tous:
- d'une trémie réserve à la partie supérieure de la colonne qui sert de zone de préchauffage du grain. Elle est équipée de détecteurs de niveau qui assurent l'alimentation automatique du séchoir.
- d'une zone de séchage proprement dite, constituant l'élément principal de la tour de séchage,
- d'une zone de refroidissement réglable en volume et pouvant même être supprimée, dans le cas du séchage avec « dryeration », par le jeu de l'ouverture ou de la fermeture de volets.
- d'un système d'extraction du grain sec dont la périodicité et la durée de fonctionnement sont réglées par des minuteries,
- d'un générateur d'air chaud sans échangeur dans le cas des gaz (naturel, propane ou butane) et avec échangeur dans le cas du fioul domestique (à cause de la présence de soufre dans ce combustible).
Ils diffèrent d'une marque à l'autre essentiellement par:
- le système d'extraction du grain: rouleaux crantés, augets basculants, grille escamotable à lamelles.
- la forme des systèmes de distribution et d'évacuation de l'air, (à canaux ou à persiennes),
- la position des ventilateurs (travail en pression ou en dépression).
Schéma de principe d'un séchoir continu vertical gamme CNA (Doc. Omnium).
4.1
Séchage du maïs
4.2 Séchage du blé de meunerie
4.3 Séchage de l'orge de brasserie et des
semences
4.4
Séchage des oléagineux
4.5
Séchage des protéagineux
Méthode classique (séchage conventionnel).
Cette méthode consiste à effectuer le séchage et le refroidissement du grain en un seul passage. C'est de beaucoup la méthode la plus utilisée, toutefois on peut lui reprocher son manque de souplesse car elle constitue un goulot d'étranglement lorsque la capacité de récolte des moissonneuses batteuses dépasse le débit du séchoir.
Plusieurs attitudes peuvent être prises pour résoudre ce problème:
Séchage en deux passages dans le même séchoir avec stockage intermédiaire de 15 jours à 1 mois par la ventilation.
Cette méthode consiste à sécher le maïs jusqu'à 22-25 % d'humidité lors d'un premier passage au séchoir, puis le conserver 15 jours à 1 mois sous ventilation et finir de le sécher lors d'un deuxième passage au séchoir.
Cette méthode, qui offre l'avantage de permettre une augmentation de la capacité de séchage de l'ordre de 60 à 70 %, nécessite une installation de ventilation adaptée au maïs « demi-sec », c'est-à-dire disposant d'un débit spécifique de 40 à 50 m3/h par m3 3 de grain. Elle présente cependant les inconvénients suivants: doublement des opérations de manutention, d'où accroissement des risques de casse et légère perte de matière sèche par respiration ainsi qu'en témoigne le diagramme ci-contre. De plus, la durée de stockage, à l'état « demi-sec », sans altération dépend de la température extérieure et de la teneur en eau intermédiaire du maïs.
Refroidissement lent différé ou « dryeration »:
En dryeration, le refroidissement du grain n'a plus lieu dans le séchoir, mais dans un ensemble de cellules prévues à cet effet et équipées d'une ventilation spéciale.
Le procédé comprend 4 étapes successives:
Pour obtenir le meilleur effet de séchage plusieurs conditions doivent être satisfaites:
- température du grain élevée, de l'ordre de 60 °C, pour cela il faut atteindre mais sans dépasser la température de séchage de 110-120 °C,
- refroidissement complet et régulier de la masse de grain, pour cela il faut un système de distribution d'air (gaines de ventilation) bien conçu et éviter la formation du cône de remplissage (zone où le grain est tassé et mal ventilé).
Principe de la méthode de séchage par dryeration (Doc. ITCF).
Avantages escomptés de cette méthode:
- augmentation de capacité de séchage: de 20 à 60 % suivant le fait que l'on augmente ou non la puissance thermique.
- l'économie de combustible va de 15 à 40 % suivant le fait que le séchoir est au départ déjà performant ou non.
- la dryeration permet de diminuer les taux de grains fêlés et de grains brisés dus au séchage (voir tableaux ci-contre).
A température de séchage identique, la qualité technologique d'un mais est meilleure en dryeration qu'en séchage classique.
Problèmes pratiques posés par la mise en place du procédé de dryeration:
Pour réaliser ce cycle de travail, il existe de nombreuses solutions qui dépendent du nombre et de la capacité des cellules que l'on peut réserver à la dryeration. Dans tous les cas il faut établir un diagramme du cycle de travail qui respecte les durées préconisées plus haut (10 heures de ressuyage et 12 à 15 de ventilation).
L'élévateur de reprise du grain chaud et humide est aussi soumis à ces buées, et il est conseillé en fin de campagne de séchage de le sécher en lui faisant véhiculer du grain sec.
Durée de conservation du maïs demi-sec (d'après Steele et Saul, Univ, Iowa, USA).
Dryeration: refroidissement sur 4 cellules (Doc. ITCF).
Dryeration: refroidissement sur 2 cellules (Doc. ITCF).
4.2 Séchage du blé de meunerie:
Le séchage du blé étant occasionnel, on utilise les mêmes séchoirs que pour le maïs moyennant quelques réglages préalables:
Lorsque la manutention a un débit insuffisant pour suivre le débit du séchoir, il faut baisser la température de l'air chaud jusqu'à ce qu'il y ait concordance entre la capacité du séchoir et les débits de manutention.
Le traitement thermique du blé humide (18 % et plus de teneur en eau) par séchage à température modérée (jusqu'à 90°C) est bénéfique pour la qualité boulangère. A températures plus élevées il y a dégradation de la qualité.
4.3 Séchage de l'orge de brasserie et des semences:
Pour ces produits le principal critère qualitatif à respecter est le maintien du pouvoir germinatif. La température de l'air chaud doit être limitée à 40 - 42 °C pour ne pas détruire le germe.
Il est possible de sécher ces graines sans altérer la qualité de l'huile avec des températures de l'air de l'ordre de 65 à 70 °C.
Il faut dans le cas du colza et du tournesol diminuer le débit d'air des ventilateurs pour éviter les envolements de grain dans la chambre d'air usé.
Un problème particulier au tournesol est souvent évoqué, il s'agit des incendies de séchoir. Ces accidents sont favorisés par l'accumulation de poussières et de coques dans certains endroits du séchoir, en effet ces déchets une fois portés à l'état anhydre sont très facilement inflammables; il suffit donc qu'une escarbille provenant du brûleur soit véhiculée par l'air de séchage et vienne percuter un bouchon ou un amas de poussière pour qu'un incendie se déclare. Pour diminuer fortement ce risque d'incident il est indispensable de prénettoyer le grain avant son introduction dans le séchoir et d'éviter un préstockage humide trop long (24 heures maximum). Avant de mettre en marche le séchoir, faire fonctionner la ventilation une demi-heure pour éliminer les gaz produits par la respiration ou la fermentation du grain en attente de séchage.
Table des matières
- Précédente - Suivante